Update Covid-19 di Sumut 30 November: Positif Tambah 77 Kasus Jadi 15.585 Orang
Senin, 30 November 2020 - 16:02:00 WIB

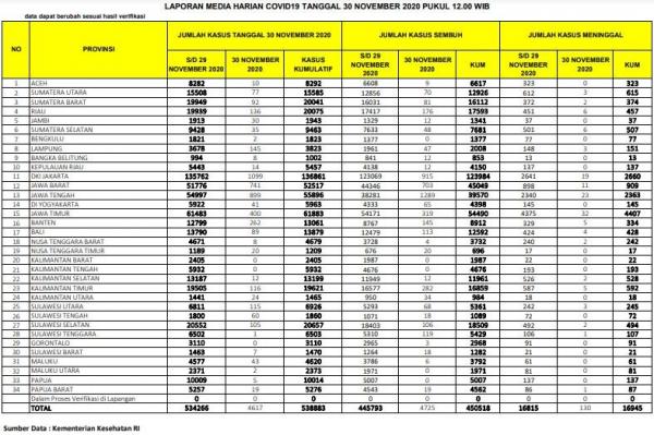
JAKARTA, iNews.id - Update terbaru jumlah warga di Sumatera Utara yang terkonfirmasi positif Covid-19 mencapai sebanyak 15.585 orang pada Senin (30/11/2020) hari ini. Ada penambahan 77 kasus baru dari sebelumnya berjumlah 15.508 orang.
Melansir data laporan media harian Covid-19, selain kasus terkonfirmasi positif juga ada penambahan 70 pasien sembuh. Sementara korban meninggal bertambah tiga orang.
Total keseluruhan update Covid-19 untuk Sumut per Senin hari ini yakni 15.585 orang positif, 12.926 sembuh dan 615 meninggal dunia.
Editor: Donald Karouw