Update Covid 19 Oktober: Positif Covid di Sumut Tambah 91 Kasus Jadi 12.035 Orang
Senin, 19 Oktober 2020 - 15:48:00 WIB

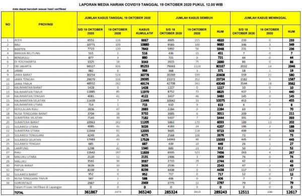
JAKARTA, iNews.id - Update terbaru jumlah warga Sumatera Utara yang terkonfirmasi positif covid mencapai sebanyak 12.035 orang pada Senin (19/10/2020) hari ini. Ada penambahan 91 kasus baru dari sebelumnya berjumlah 11.944 orang.
Melansir data laporan media harian covid, selain kasus terkonfirmasi positif ada juga penambahan 118 pasien sembuh. Sementara korban meninggal dunia akibat covid bertambah empat orang.
Total keseluruhan update covid untuk Sumut per Senin hari ini yakni 12.035 orang positif, 9.723 sembuh dan 503 meninggal dunia.
Editor: Donald Karouw