Update Covid di Sumut 20 November: Positif Tambah 79 Kasus Baru Jadi 14.755 Orang
Jumat, 20 November 2020 - 17:04:00 WIB

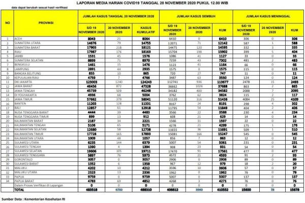
JAKARTA, iNews.id - Update terbaru jumlah warga di Sumatera Utara yang terkonfirmasi positif covid mencapai sebanyak 14.755 orang pada Jumat (20/11/2020) hari ini. Ada lonjakan penambahan 79 kasus baru dari sebelumnya berjumlah 14.676 orang.
Melansir data laporan media harian covid, selain kasus terkonfirmasi positif juga ada penambahan 71 pasien sembuh. Sementara korban meninggal akibat covid bertambah satu orang.
Total keseluruhan update covid untuk Sumut per Jumat hari ini yakni 14.755 orang positif, 12.142 sembuh dan 588 meninggal dunia.
Editor: Donald Karouw