Update Covid di Sumut 29 November, Positif Tambah 88 Kasus Baru Jadi 15.508 Orang
Minggu, 29 November 2020 - 16:40:00 WIB

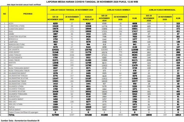
JAKARTA, iNews.id - Update terbaru jumlah warga di Sumatera Utara yang terkonfirmasi positif covid mencapai sebanyak 15.508 orang pada Minggu (29/11/2020) hari ini. Ada lonjakan penambahan 88 kasus baru dari sebelumnya berjumlah 15.420 orang.
Melansir data laporan media harian covid, selain kasus terkonfirmasi positif juga ada penambahan 78 pasien sembuh. Sementara korban meninggal akibat covid bertambah tiga orang.
Total keseluruhan update covid untuk Sumut per Minggu hari ini yakni 15.508orang positif, 12.856 sembuh dan 612 meninggal dunia.
Editor: Donald Karouw