Positif Covid-19 di Sumut Tambah 87 Kasus Baru per 8 Desember, Total 16.261 Orang
Selasa, 08 Desember 2020 - 17:09:00 WIB

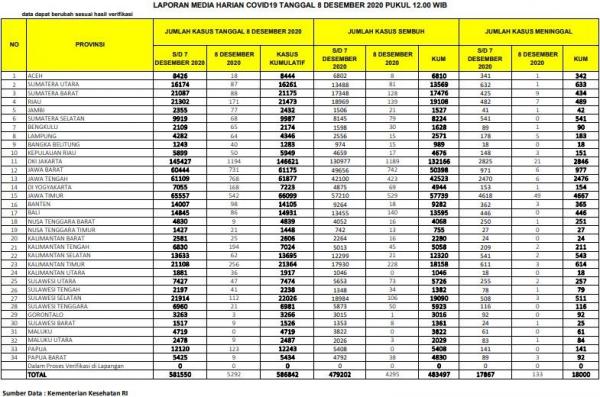
JAKARTA, iNews.id - Update terbaru jumlah warga di Sumatera Utara yang terkonfirmasi positif Covid-19 mencapai sebanyak 16.261 orang pada Selasa (8/12/2020) hari ini. Ada penambahan 87 kasus baru dari sebelumnya berjumlah 16.174 orang.
Melansir data laporan media harian Covid-19, selain kasus terkonfirmasi positif juga ada penambahan 81 pasien sembuh. Sementara korban meninggal bertambah satu orang.
Total keseluruhan update Covid-19 untuk Sumut per Selasa hari ini yakni 16.261 orang positif, 13.569 sembuh dan 633 meninggal dunia.
Editor: Donald Karouw